Velocidad inicial y aceleración de un tren que se detiene (5740)

, por F_y_Q

Un tren va a cierta velocidad, frena durante 10 segundos y se detiene en 50 metros. ¿Cuál es su velocidad inicial y su aceleración?

P.-S.

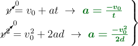
Todas las ecuaciones del MRUA relacionan la velocidad inicial con la aceleración, por lo que puedes establecer un sistema de ecuaciones:

\left \cancelto{0}{v} = v_0 + at\ \to\ {\color[RGB]{2,112,20}{\bm{a = \frac{-v_0}{t}}}} \atop \cancelto{0}{v^2} = v_0^2 + 2ad\ \to\ {\color[RGB]{2,112,20}{\bm{a = \frac{-v_0^2}{2d}}}} \right \}

Despejas la aceleración en ambas ecuaciones para resolver el sistema por igualación y obtener la velocidad inicial:

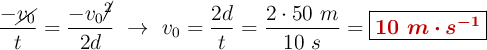
\frac{-\cancel{v_0}}{t} = \frac{-v_0\cancel{^2}}{2d}\ \to\ v_0 = \frac{2d}{t} = \frac{2\cdot 50\ m}{10\ s} = \fbox{\color[RGB]{192,0,0}{\bm{10\ m\cdot s^{-1}}}}


Ya puedes calcular la aceleración:

a = \frac{-v_0}{t} = \frac{-10\ \frac{m}{s}}{10\ s} = \fbox{\color[RGB]{192,0,0}{\bm{-1\ m\cdot s^{-2}}}}