Molaridad y porcentaje (m/V) de la disolución resultante de la mezcla de dos disoluciones

, por F_y_Q

Se mezclan 90,6 mL de una disolución de NaCl de concentración 2,8 M con 36 g de otra disolución de NaCl del 52\% (m/m), cuya densidad es de 1,58\ \textstyle{g\over mL}. Calcula:

a) La molaridad de la disolución resultante.

b) La concentración de la disolución resultante expresada en \% (m/v).

Masas atómicas: Na =23 ; Cl = 35,5.

P.-S.

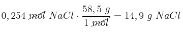
Vamos a calcular las masas y moles de NaCl de cada una de las disoluciones, así como el volumen de la segunda disolución, para poder responder a las cuestiones planteadas:
Primera disolución:
90,6\ \cancel{mL\ D_1}\cdot 2,8\frac{mol}{\cancel{L\ D_1}}\cdot \frac{1\ \cancel{L}}{10^3\ \cancel{mL}} = 0,254\ mol\ NaCl
0,254\ \cancel{mol}\ NaCl\cdot \frac{58,5\ g}{1\ \cancel{mol}} = 14,9\ g\ NaCl
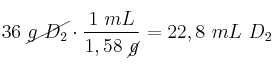
Segunda disolución:
36\ \cancel{g\ D_2}\cdot \frac{52\ g\ NaCl}{100\ \cancel{g\ D_2}}\cdot \frac{1\ mol}{58,5\ \cancel{g}} = 0,318\ mol\ NaCl
36\ \cancel{g\ D_2}\cdot \frac{52\ g\ NaCl}{100\ \cancel{g\ D_2}} = 18,7\ g\ NaCl
36\ \cancel{g\ D_2}\cdot \frac{1\ mL}{1,58\ \cancel{g}} = 22,8\ mL\ D_2
El volumen final al mezclar las dos disoluciones, suponiendo que los volúmenes son aditivos, es 113,4 mL. Los moles totales de soluto son 0,572 mol. La masa total de soluto es 33,6 g.
a)

M = \frac{n_T}{V_T} = \frac{0,572\ mol}{0,113\ L} = \bf 5\ \frac{mol}{L}


b)

\%\ (m/V) = \frac{33,6\ g}{113,4}\cdot 100 = \bf 29,6\%