Ley de Proust aplicada a la formación del agua

, por F_y_Q

Un estudiante sabe que en la formación del agua 4 g de H_2 reaccionan completamente con 32 g de O_2. Si, bajo las mismas condiciones de reacción, se hacen reaccionar 4 g de H_2 con 16 g de O_2, ocurrirá que:

a) Se formarán 10 g de H_2O y sobrarán 2 g de H_2.

b) Se formarán 20 g de H_2O y no sobrará nada de H_2 y O_2.

c) Se fromarán 14 g de H_2O y sobrarán 4 g de O_2.

d) Se formarán 18 g de H_2O y sobrarán 2 g de H_2.

P.-S.

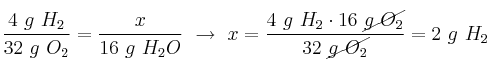
Si aplicamos la ley de las proporciones definidas (Ley de Proust) la proporción entre la masa de oxígeno e hidrógeno ha de ser constante siempre que el producto sea agua. Hacemos la proporción y obtenemos la masa de hidrógeno que reaccionará con los 16 g de oxígeno:

\frac{4\ g\ H_2}{32\ g\ O_2} = \frac{x}{16\ g\ H_2O}\ \to\ x = \frac{4\ g\ H_2\cdot 16\ \cancel{g\ O_2}}{32\ \cancel{g\ O_2}} = 2\ g\ H_2


Como podemos ver, serán 2 g H_2 los que reaccionarán con los 16 g de O_2. Aplicando la Ley de Conservación de la Masa, la masa de agua que se formará será de 18 g, por lo que debemos concluir que la opción correcta es d).