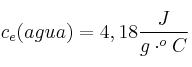
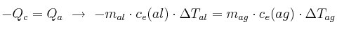
Calor específico de una aleación midiendo el calor que cede a una masa de agua
Se calentó una muestra de 25 g de una aleación hasta
y se sumergió en un recipiente con 90 g de agua a
. La temperatura del agua aumentó hasta un valor final de
. Despreciando las pérdidas caloríficas hacia el ambiente y la capacidad calorífica del recipiente, ¿cuál es el calor específico de la aleación?

Ejercicios FyQ