Tiempo de reacción de un conductor antes de pisar el freno (5285)

, por F_y_Q

En la figura puedes ver la situación inicial de un coche cuando el conductor se percata del bache y acciona el pedal del freno. Sabiendo que logra deterner el coche a 3 m del bache, ¿cuál fue el tiempo de reacción del conductor?

P.-S.

Es importante saber interpretar los datos del esquema para poder aplicarlos de manera correcta. Si consideramos que el sentido hacia la derecha es positivo, la aceleración la hemos de considerar negativa, es decir, a = -4\ \textstyle{m\over s^2} .

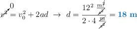
Averiguamos qué distancia debe recorrer el coche cuando acciona el freno:

\cancelto{0}{v^2} = v_0^2 + 2ad\ \to\ d = \frac{12^2\ \frac{m^\cancel{2}}{\cancel{s^2}}}{2\cdot 4\ \frac{\cancel{m}}{\cancel{s^2}}} = \color[RGB]{0,112,192}{\bf 18\ m}

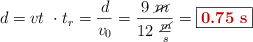
Como el coche se detiene a 3 m del bache, habrá recorrido 9 m de más que serán los que recorre antes de que el conductor acciones el freno. En ese caso lo ha hecho con un movimiento uniforme. Podemos calcular el tiempo necesario para recorrer esos 9 m a velocidad constante, que será el tiempo de reacción del conductor:

d = vt\ \cdot t_r = \frac{d}{v_0} = \frac{9\ \cancel{m}}{12\ \frac{\cancel{m}}{s}} = \fbox{\color[RGB]{192,0,0}{\bf 0.75\ s}}