Velocidad de una persona con respecto a la velocidad del tren que se aproxima

, por F_y_Q

Una persona está sobre un puente AB de longitud L cuando avista un tren acercándose al puente con rapidez u. En ese momento la máquina del tren se encuentra a una distancia L/3 del extremo A del puente. La persona considera evitar el tren saliendo por A o B y concluye que, en ambos casos, es alcanzado por el tren al momento de salir del puente. Determina la rapidez media de la persona en función de la velocidad del tren.

P.-S.

Suponemos que la persona está a una distancia x del extremo A y, por lo tanto, a L-x del extremo B. Vamos a ver qué ocurriría en cada extremo cuando el tren alcance a la persona:
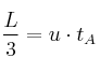
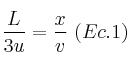
En el extremo A.
El tren habrá recorrido L/3 y la persona x. Podemos escribir ambas distancias en función de las velocidades de ambos:
\frac{L}{3} = u\cdot t_A
x = v\cdot t_A
Si despejamos el tiempo en ambas ecuaciones y las igualamos:
\frac{L}{3u} = \frac{x}{v}\ (Ec. 1)
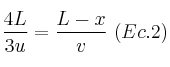
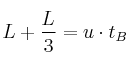
En el extremo B.
Hacemos lo mismo para el otro extremo del puente:
L + \frac{L}{3} = u\cdot t_B
L - x = v\cdot t_B
Igualando los tiempos:
\frac{4L}{3u} = \frac{L-x}{v}\ (Ec. 2)
Despejamos el valor de x en la primera ecuación y lo sustituimos en la segunda:
x = \frac{Lv}{3u}
\frac{4Lv}{3u} = L - \frac{Lv}{3u} = \frac{3uL - Lv}{3u}
Simplificando y despejando:

\frac{4\cancel{L}v}{\cancel{3u}} = \frac{\cancel{L}(3u - v)}{\cancel{3u}}\ \to\ 5v = 3u\ \to\ \bf v = \frac{3u}{5}