Ampliación: fuerza para compensar la diferencia de presión de una hoja de papel

, por F_y_Q

Llena un vaso con agua hasta que rebose y cúbrelo con un trozo de papel de tal manera que quede muy bien ajustado a los bordes del vaso. Presiona el papel con la mano e inviértelo de manera suave. Retira la mano que soporta el papel y explica lo que observas y por qué ocurre.

Si el vaso tiene 10 cm de alto y 5,65 cm de diámetro interno, encuentra la fuerza que se debería hacer para que el papel se caiga.

P.-S.

El papel quedará en la misma posición, sujetando el agua del vaso, si todo ha sido bien hecho. Esto se debe a que la presión que ejerce el agua sobre la hoja es MENOR que la presión del aire, lo que provoca que la hoja siga soportando el peso del agua.
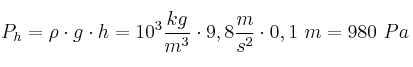
La presión que el agua ejerce sobre la hoja de papel es:
P_h = \rho\cdot g\cdot h = 10^3\frac{kg}{m^3}\cdot 9,8\frac{m}{s^2}\cdot 0,1\ m = 980\ Pa
La presión del aire es igual a la presión atmosférica, que podemos suponer 1 atm, es decir, 10^5\ Pa. La diferencia de presión sobre la hoja de papel será:
\Delta P = (10^5 - 9,8\cdot 10^2)\ Pa = 9,9\cdot 10^4\ Pa
El papel caerá cuando la fuerza que se ejerza compense esta diferencia de presión. La fuerza es el producto de la presión por la superficie. Necesitamos conocer la superficie de agua que está en contacto con el papel:
S = \pi\cdot R^2 = 3,14\cdot 0,028\ m = 2,5\cdot 10^{3}\ m^2
Ahora podemos calcular la fuerza necesaria:

F = \Delta P\cdot S = 9,9\cdot 10^4\ Pa\cdot 2,5\cdot 10^{-3}\ m^2 = \bf 247,5\ N