Fuerza necesaria para acelerar un automóvil de dos toneladas

, por F_y_Q

¿Cuál es la fuerza necesaria para que un automóvil que pesa dos toneladas se desplace en una velocidad 43,2 km/h a los 2 segundos de haber iniciado su movimiento?

P.-S.

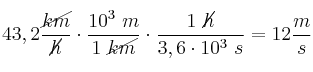
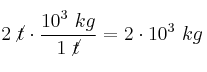
Para poder aplicar la ecuación de la segunda ley de la dinámica es necesario que las unidades sean homogéneas. Convertimos los datos a unidades SI:
2\ \cancel{t}\cdot \frac{10^3\ kg}{1\ \cancel{t}} = 2\cdot 10^3\ kg
43,2\frac{\cancel{km}}{\cancel{h}}\cdot \frac{10^3\ m}{1\ \cancel{km}}\cdot \frac{1\ \cancel{h}}{3,6\cdot 10^3\ s} = 12\frac{m}{s}
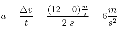
La aceleración que sufre el automóvil es:
a = \frac{\Delta v}{t} = \frac{(12 - 0)\frac{m}{s}}{2\ s} = 6\frac{m}{s^2}
La fuerza será:

F = m\cdot a = 2\cdot 10^3\ kg\cdot 6\frac{m}{s^2} = \bf 1,2\cdot 10^4\ N