Fuerza aplicada sobre un auto para frenar antes de alcanzar un obstáculo (5557)

, por F_y_Q

Un auto de 600 kg, que circula a 54 km/h, encuentra un obstáculo situado a 70 m de distancia delante de él. El conductor pisa el pedal del freno y consigue detener el coche justo delante del obstáculo. Halla la fuerza que se ejerció sobre el coche durante la frenada.

P.-S.

En primer lugar, debes convertir la velocidad inicial del auto a m/s. La equivalencia es de \color[RGB]{0,112,192}{\bm{15\ \textstyle{m\over s}}}

Si tienes dudas de cómo realizar el cambio de unidad de la velocidad puedes ver este ejercicio resuelto.

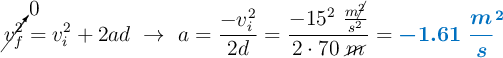
Usas la ecuación que relaciona las velocidades final e inicial con la distancia recorrida:

\cancelto{0}{v_f^2} = v_i^2 + 2ad\ \to\ a = \frac{-v_i^2}{2d} = \frac{-15^2\ \frac{m\cancel{^2}}{s^2}}{2\cdot 70\ \cancel{m}} = \color[RGB]{0,112,192}{\bm{-1.61\ \frac{m}s^2}}}

La fuerza la puedes obtener a partir de la segunda ley de la dinámica:

F = m\cdot a = 600\ kg\cdot \left(-1.61\ \frac{m}{s^2}\right) = \fbox{\color[RGB]{192,0,0}{\bf -966\ N}}