Aceleración de la gravedad en la Luna (5836)

, por F_y_Q

La masa de la luna es \textstyle{1\over 81} de la masa de la masa de la Tierra. ¿Cuál es la aceleración de la gravedad sobre la superficie de la Luna?

Datos: g_T = 9.8\ \textstyle{m\over s^2} ; R_L  = \textstyle{R_T\over 4}

P.-S.

Para resolver el ejercicio vamos a relacionar las aceleraciones gravitatorias de ambos cuerpos celestes, escribiéndolas en función de los datos de masas y radios de ambos:

\frac{g_T}{g_L}  = \frac{\cancel{G}\frac{M_T}{R_T^2}}{\cancel{G}\frac{M_T/81}{(R_T/4)^2}}

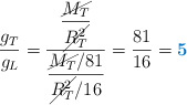
Si ordenamos la ecuación anterior y simplificamos:

\frac{g_T}{g_L} = \frac{\dfrac{\cancel{M_T}}{\cancel{R_T^2}}}{\dfrac{\cancel{M_T}/81}{\cancel{R_T^2}/16}} = \frac{81}{16} = \color[RGB]{0,112,192}{\bf 5}

Solo nos queda despejar el valor de la aceleración de la gravedad en la Luna:

g_L = \frac{g_T}{5} = \frac{9.8\frac{m}{s^2}}{5} = \fbox{\color[RGB]{192,0,0}{\bm{1.96\ \frac{m}{s^2}}}}