Volumen de oxígeno necesario para quemar un volumen de benceno

, por F_y_Q

Si la densidad del benceno líquido, a 20^oC, es \rho = 0,88\ \textstyle{g\over mL}, ¿cuantos litros de oxígeno gaseoso, medidos en condiciones normales, son necesarios para completar la combustion de 39 mL benceno líquido?

P.-S.

En primer lugar debemos escribir la ecuación química de la combustión del benceno:

C_6H_6(l) + \textstyle{15\over 2}O_2(g)\ \to\ 6CO_2(g) + 3H_2O(g)


La masa molecular del benceno es:
C_6H_6:\ 6\cdot 12 + 6\cdot 1 = 78\ \frac{g}{mol}
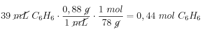
Convertimos a mol el volumen de benceno para poder aplicar la estequiometría de la reacción:
39\ \cancel{mL}\ C_6H_6\cdot \frac{0,88\ \cancel{g}}{1\ \cancel{mL}}\cdot \frac{1\ mol}{78\ \cancel{g}} = 0,44\ mol\ C_6H_6
Por cada mol de benceno son necesarios 7,5 moles de oxígeno según la reacción. Si hacemos en el mismo paso la conversión a volumen tenemos:

0,44\ \cancel{mol\ C_6H_6}\cdot \frac{7,5\ \cancel{mol}\ O_2}{1\ \cancel{mol\ C_6H_6}}\cdot \frac{22,4\ L}{1\ \cancel{mol}} = \bf 73,9\ L\ O_2