Aceleración de un móvil que parte del reposo y recorre una distancia en un tiempo

, por F_y_Q

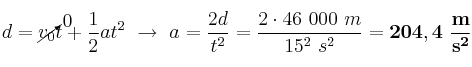
Un móvil parte del reposo y recorre 46 km con un movimiento rectilíneo uniformemente acelerado durante 15 s. Calcula su aceleración.

P.-S.

Al tratarse de un MRUA cuya v_0 = 0, usando la ecuación que relaciona la distancia recorrida con la aceleración y el tiempo:

d = \cancelto{0}{v_0}t + \frac{1}{2}at^2\ \to\ a = \frac{2d}{t^2} = \frac{2\cdot 46\ 000\ m}{15^2\ s^2} = \bf 204,4\ \frac{m}{s^2}