Aplicación de la ley de Boyle al estudio de un gas (5267)

, por F_y_Q

Si se quisiera realizar una medición 6 en la tabla de resultados, cuando la presión sea de una atmosfera (1 atm) el volumen será:

Tabla de datos y gráfica ley de Boyle
Tabla de datos y representación gráfica de ellos para ilustrar la ley de Boyle.

P.-S.

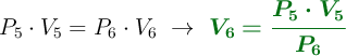
Para calcular el volumen que corresponde al valor de 1 atm podrías usar la gráfica dada o hacerlo de modo analítico. Si aplicas la ley de Boyle, y tomas como referencia los valores de la medida 5 de la tabla, puedes obtener el valor del volumen de manera simple:

P_5\cdot V_5  = P_6\cdot V_6\ \to\ \color[RGB]{2,112,20}{\bm{V_6 = \frac{P_5\cdot V_5}{P_6}}}

Sustituyes por los valores de la tabla y calculas:

V_6 = \frac{1.25\ \cancel{atm}\cdot 20\ L}{1\ \cancel{atm}} = \fbox{\color[RGB]{192,0,0}{\bf 25\ L}}