Análisis de un movimiento según su gráfica «s-t» (5018)

, por F_y_Q

La posición de un cuerpo en movimiento en función del tiempo se presenta en la figura. Indica:

a) Dónde la velocidad es positiva y dónde es negativa.

b) Cuándo el movimiento es acelerado.

c) Cuándo el cuerpo pasa por el origen.

d) Cuándo la velocidad es cero.

Realiza un esquema de la velocidad y de la aceleración en función del tiempo y estima del gráfico la velocidad promedio entre los intervalos (t = 1 s y t = 3 s) y (t = 1 s y t = 2.2 s).

P.-S.

a) La velocidad será positiva cuando la recta tenga pendiente positiva y será negativa cuando sea su pendiente negativa. Es positiva en todos los intervalos excepto en el intervalo que va desde t = 2.2 s hasta t = 2.8 s, en el que es una velocidad negativa y el tramo que va desde t = 0.8 s hasta t = 1.8 s, en el que la velocidad es nula.

b) El movimiento será acelerado cuando varíe la velocidad, es decir, en los momentos, 0.8 s, 1.8 s y 2.8 s.

c) Son los valores de tiempo en los que el gráfico corta al eje X, es decir, y de forma aproximada, a los 0.3 s, a los 2.7 s y a los 3 s.

d) La velocidad es cero cuando no varía la posición, es decir, en el tramo que va desde t = 0.8 s hasta t = 1.8 s.

El esquema de la velocidad quedaría como sigue (clica sobre la miniatura y podrás verlo en más detalle):

El esquema de la aceleración, que se obtiene haciendo la velocidad medida en cada variación y dividiendo por el tiempo pasado entre ambos tramos, queda como puedes ver (clica sobre la miniatura para verlo mejor):


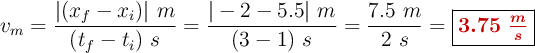
La velocidad promedio entre 1 y 3 s es:

v_m = \frac{|(x_f - x_i)|\ m}{(t_f - t_i)\ s} = \frac{|-2 - 5.5|\ m}{(3 - 1)\ s} = \frac{7.5\ m}{2\ s} = \fbox{\color[RGB]{192,0,0}{\bm{3.75\ \frac{m}{s}}}}


Entre 1 y 2.2 s es:

v_m = \frac{(7 - 5.5)\ m}{(2.2 - 1)\ s} = \fbox{\color[RGB]{192,0,0}{\bm{1.25\ \frac{m}{s}}}}