Diferencia de altura entre dos tuberías que echan agua

, por F_y_Q

De dos tuberías A y B sale agua como se muestra en la figura. Si los chorros de agua llegan simultáneamente al agujero H (2, -y), calcula la diferencia de altura "h" entre ambas tuberías. (Considera g = 10\ m\cdot s^{-2}).

P.-S.

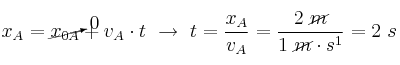
Podemos tomar como referencia la tubería A y sabemos que la distancia horizontal a la que está H es 2 (m) porque así lo dicen las coordenadas que nos dan en el enunciado. Además vamos a considerar que son positivos los sentidos derecha y abajo. El tiempo que el agua del chorro A tardará en llegar a H se puede obtener a partir de la velocidad inicial del agua de A:
x_A = \cancelto{0}{x_{0A}} + v_A\cdot t\ \to\ t = \frac{x_A}{v_A} = \frac{2\ \cancel{m}}{1\ \cancel{m}\cdot s^{1}} = 2\ s
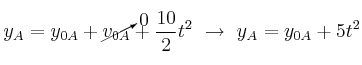
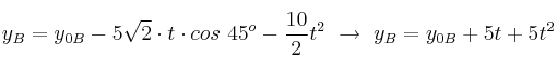
La altura del agua de cada uno de los chorros sigue las ecuaciones:
y_A = y_{0A} + \cancelto{0}{v_{0A}} + \frac{10}{2}t^2\ \to\ y_A = y_{0A} + 5t^2
y_B = y_{0B} - 5\sqrt 2\cdot t\cdot cos\ 45^o -\frac{10}{2}t^2\ \to\ y_B = y_{0B} + 5t + 5t^2
Cuando lleguen a H la altura de ambos chorros de agua es la misma, por lo que podemos igualar las dos ecuaciones:
y_{0A} + \cancel{5t^2} = y_{0B} - 5t + \cancel{5t^2}\ \to\ y_{0A} = y_{0B} - 5t
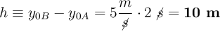
La altura "h" que nos piden es la diferencia entre las tuberías A y B, por lo que despejando y sustituyendo:

h\equiv y_{0B} - y_{0A} = 5\frac{m}{\cancel{s}}\cdot 2\ \cancel{s} = \bf 10\ m

Palabras clave