Velocidad de lanzamiento, altura máxima y tiempo de vuelo en un tiro parabólico

, por F_y_Q

Un cuerpo es lanzado con un ángulo de 72^o sobre la horizontal e impacta en un blanco situado a 80 m. Responde a las preguntas:

a) ¿Cuál es la velocidad inicial del lanzamiento?

b) ¿Cuáles son los componentes de la velocidad del disparo?

c) ¿Cuál es la altura máxima que alcanza?

d) ¿Cuánto es el tiempo de vuelo?

P.-S.

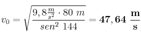
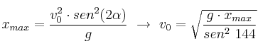
a) A partir de la ecuación del alcance máximo podemos despejar el valor de la velocidad de lanzamiento:
x_{max} = \frac{v_0^2\cdot sen^2(2\alpha)}{g}\ \to\ v_0 = \sqrt{\frac{g\cdot x_{max}}{sen^2\ 144}}
Sustituyendo los datos del enunciado:

v_0 = \sqrt{\frac{9,8\frac{m}{s^2}\cdot 80\ m}{sen^2\ 144}} = \bf 47,64\ \frac{m}{s}


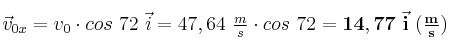
b) Las componentes de la velocidad inicial se obtienen al descomponer el valor anterior:

\vec v_{0x} = v_0\cdot cos\ 72\ \vec i = 47,64\ \textstyle{m\over s}\cdot cos\ 72 = \bf 14,77\ \vec i\ (\textstyle{m\over s})

\vec v_{0y} = v_0\cdot sen\ 72\ \vec j = 47,64\ \textstyle{m\over s}\cdot sen\ 72 = \bf 45,30\ \vec j\ (\textstyle{m\over s})


d) Resolvemos antes el último apartado por ser inmediato:

t_v = \frac{2v_0\cdot sen\ 72}{g} = \frac{2\cdot 47,64\frac{\cancel{m}}{\cancel{s}}\cdot sen\ 72}{9,8\frac{\cancel{m}}{s\cancel{^2}}} = \bf 9,25\ s


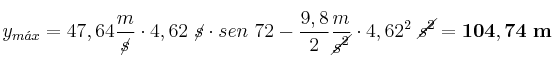
c) La altura máxima se obtiene a partir de la ecuación de la posición vertical pero considerando el tiempo de subida, es decir, la mitad del tiempo de vuelo calculado:

y_{m\acute{a}x} = 47,64\frac{m}{\cancel{s}}\cdot 4,62\ \cancel{s}\cdot sen\ 72 - \frac{9,8}{2}\frac{m}{\cancel{s^2}}\cdot 4,62^2\ \cancel{s^2} = \bf 104,74\ m