Velocidad de una partícula en un campo eléctrico pasado un tiempo (5611)

, por F_y_Q

Una partícula con carga q  = 22\cdot 10^{-6}\ C y masa m  = 50\cdot 10^{-3}\ g se encuentra en reposo en el origen de coordenadas dentro de un campo eléctrico uniforme de 5 \cdot 10^3\ \textstyle{N\over C} , dirigido en el sentido positivo del eje Y. Calcula su velocidad al cabo de 22 \cdot 10^{-5}\ s .

P.-S.

La partícula estará sometida a dos fuerzas verticales de sentido contrario; la fuerza eléctrica que es ascendente, y el peso que es descendente. Si aplicas la segunda ley de Newton puedes obtener la aceleración a la que estará sometida la partícula:

F_E - p = m\cdot a\ \to\ \color[RGB]{2,112,20}{\bm{a = \frac{q\cdot E - m\cdot g}{m}}}

Sustituyes en la ecuación y calculas:

a = \frac{22\cdot 10^{-5}\ \cancel{C}\cdot 5\cdot 10^3\ \frac{N}{\cancel{C}} - \left(50\cdot 10^{-6}\ kg\cdot 10\ \frac{m}{s^2}\right)}{50\cdot 10^{-6}\ kg} = \color[RGB]{0,112,192}{\bm{4.3\cdot 10^2\ \frac{m}{s^2}}}

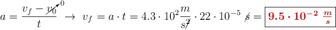
La velocidad se obtiene a partir de la definición cinemática de aceleración:

a= \frac{v_f - \cancelto{0}{v_0}}{t}\ \to\ v_f = a\cdot t = 4.3\cdot 10^2\frac{m}{s\cancel{^2}}\cdot 22\cdot 10^{-5}\ \cancel{s} = \fbox{\color[RGB]{192,0,0}{\bm{9.5\cdot 10^{-2}\ \frac{m}{s}}}}