Volumen de benceno que se quema para obtener una masa de carbonato de bario (5385)

, por F_y_Q

Se quema una muestra de benceno, \ce{C_6H_6} , produciendo \ce{CO2} y \ce{H2O}. El \ce{CO2} producido se absorbe en una solución acuosa de \ce{Ba(OH)_2} y el producto precipitado, \ce{BaCO_3}, tiene una masa de 0.53 g. Si la densidad del benceno líquido es 0.879 g/mL, calcula el volumen de la muestra líquida quemada.

Masas moleculares (g/mol): \ce{C6H6 = 78} ; \ce{CO2 = 44} ; \ce{BaCO3 = 197}

P.-S.

En primer lugar, debes escribir las reacciones que tienen lugar debidamente ajustadas:

\left \color[RGB]{2,112,20}{\textbf{\ce{C6H6(l) + \textstyle{15\over 2}O2(g) -> 6CO2(g) + 3H2O(g)}}} \atop \color[RGB]{2,112,20}{\textbf{\ce{CO2(g) + Ba(OH)2(ac) -> BaCO3(s) + H2O(l)}}}

Como conoces la masa de \ce{BaCO_3} que se produce, puedes saber cuántos moles de carbonato de bario se han producido y relacionarlo con los moles de \ce{CO2}:

0.53\ \cancel{g}\ \cancel{\ce{Ba(OH)2}}\cdot \frac{1\ \cancel{\text{mol}}}{197\ \cancel{g}}\cdot \frac{1\ \ce{mol\ CO2}}{1\ \cancel{\ce{mol\ Ba(OH)2}}} = \color[RGB]{0,112,192}{\bm{2.69\cdot 10^{-3}}\ \textbf{\ce{mol\ CO2}}}

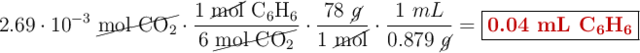
Haces la relación estequiométrica de la reacción de combustión y la relacionas con la masa y el volumen del beceno:

2.69\cdot 10^{-3}\ \cancel{\ce{mol\ CO2}}\cdot \frac{1\ \cancel{\text{mol}}\ \ce{C6H6}}{6\ \cancel{\ce{mol\ CO2}}}\cdot \frac{78\ \cancel{g}}{1\ \cancel{\text{mol}}}\cdot \frac{1\ mL}{0.879\ \cancel{g}} = \fbox{\color[RGB]{192,0,0}{\textbf{0.04 mL \ce{C6H6}}}}