Velocidades de masas que chocan elásticamente a distintas velocidades (5238)

, por F_y_Q

Un cuerpo de masa 3 kg que se desplaza hacia la derecha a 0.08 m/s, choca elásticamente con otro cuerpo de masa 2 kg que está en reposo. ¿Con qué velocidad se desplazan después del choque?

P.-S.

Al tratarse de un choque elástico se deben conservar la cantidad de movimiento y la energía cinética del sistema, por ello podemos imponer estas dos condiciones a la situación por medio de las ecuaciones:

m_1\cdot v_1(i) + m_2\cdot \cancelto{0}{v_2(i)} = m_1\cdot v_1(f) + m_2\cdot v_2(f)\ \to\ 0.24 = 3v_1(f) + 2v_2(f)

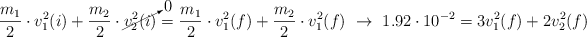
\frac{m_1}{2}\cdot v_1^2(i) + \frac{m_2}{2}\cdot \cancelto{0}{v_2^2(i)} = \frac{m_1}{2}\cdot v_1^2(f) + \frac{m_2}{2}\cdot v_1^2(f)\ \to\ 1.92\cdot 10^{-2} = 3v_1^2(f) + 2v_2^2(f)

La resolución del sistema de ecuaciones se puede hacer de varios modos, siendo dos las soluciones que se obtienen pero solo una de ellas es válida porque la otra hace referencia a la situación de partida. Las velocidades tras el choque son:

\fbox{\color[RGB]{192,0,0}{\bm{v_1(f) = 1.6\cdot 10^{-2}\ \frac{m}{s}}}} ; \fbox{\color[RGB]{192,0,0}{\bm{v_2(f) = 9.6\cdot 10^{-2}\ \frac{m}{s}}}}

En este caso ambos cuerpos se moverían hacia la derecha.