Aceleración y tiempo de frenado de un coche para evitar un obstáculo

, por F_y_Q

Un coche va a 117\ \textstyle{km\over h} y al ver un obstáculo en la carretera frena bruscamente, recorriendo una distancia de 162.5 m hasta detenerse.

a) ¿Cuál es la aceleración de frenado?

b) El tiempo que tardará en pararse.

c) Si el obstáculo hubiese estado a 100 m del coche, y suponiendo que frenase con la misma aceleración, ¿con qué velocidad máxima debería haber ido el coche para que hubiese podido frenar a tiempo?

P.-S.

La velocidad inicial del coche debe estar expresada en unidades SI. Lo hacemos dividiendo la velocidad dada por 3.6 y resulta que v_0 = 32.5\ \textstyle{m\over s}

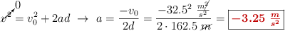
a) La aceleración de frenado se obtiene considerando que la velocidad final es cero:

\cancelto{0}{v^2} = v_0^2 + 2ad\ \to\ a = \frac{-v_0}{2d} = \frac{-32.5^2\ \frac{m\cancel{^2}}{s^2}}{2\cdot 162.5\ \cancel{m}} = \fbox{\color[RGB]{192,0,0}{\bm{-3.25\ \frac{m}{s^2}}}}


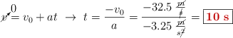
b) El tiempo de frenada es:

\cancelto{0}{v} = v_0 + at\ \to\ t = \frac{-v_0}{a} = \frac{-32.5\ \frac{\cancel{m}}{\cancel{s}}}{-3.25\ \frac{\cancel{m}}{s\cancel{^2}}} = \fbox{\color[RGB]{192,0,0}{\bf 10\ s}}


c) En este caso usamos la misma ecuación que en el apartado a) pero imponiendo la condición de que d = 100 m:

\cancelto{0}{v^2} = v_0^2 + 2ad\ \to\ v_0 = \sqrt{-2ad} = \sqrt{-2\cdot (-3.25)\ \frac{m}{s^2}\cdot 100\ m} = \fbox{\color[RGB]{192,0,0}{\bm{25.5\ \frac{m}{s}}}}


La velocidad obtenida equivale a \fbox{\color[RGB]{192,0,0}{\bm{91.8\ \texstyle{km\over h}}}} .