Calor específico de una sustancia medido en un calorímetro con masa de agua conocida (5638)

, por F_y_Q

En un calorímetro que contiene 2 kg de agua a 25 \ ^oC, se introducen 100 g de cierta sustancia que se encuentra a 80 \ ^oC. Establecido el equilibrio, se aprecia que la temperatura final es de 27 \ ^oC. ¿Qué calor específico tiene la sustancia?

Calor específico del agua: 1 \ \textstyle{cal\over g\cdot ^oC}

P.-S.

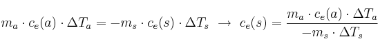
La clave del ejercicio está en igualar el calor que cede la sustancia (negativo) y el que absorbe el agua (positivo):

m_a\cdot c_e(a)\cdot \Delta T_a = - m_s\cdot c_e(s)\cdot \Delta T_s\ \to\ c_e(s) = \frac{m_a\cdot c_e(a)\cdot \Delta T_a}{-m_s\cdot \Delta T_s}
Sustituimos y calculamos el calor específico de la sustancia:

c_e(s) = \frac{2\cdot 10^3\ \cancel{g}\cdot 1\frac{cal}{g\cdot ^oC}\cdot (27 - 25)\cancel{^oC}}{-100\ \cancel{g}\cdot (27 - 80)\cancel{^oC}} = \fbox{\color[RGB]{192,0,0}{\bm{0.75\ \frac{cal}{g\cdot ^oC}}}}