Masa molecular de un gas aplicando la ley de Graham (5724)

, por F_y_Q

Se sabe que el helio se difunde dos veces más rápido que un gas desconocido. ¿Cuál es la masa molecular de este gas?

P.-S.

La Ley de Graham relaciona las velocidades de difusión de dos gases con sus masas moleculares. Basta con despejar y calcular la masa molecular del gas desconocido, teniendo en cuenta que el helio es un gas monoatómico cuya masa atómica es 4 u:

\frac{v_{He}}{v_d} = \sqrt{\frac{M_d}{M_{He}}}\ \to\ \frac{v_{He}^2}{v_d^2} = \frac{M_{He}}{M_d}}\ \to\ \color[RGB]{2,112,20}{\bm{M_d = \frac{v_{He}^2\cdot M_{He}}{v_d^2}}}

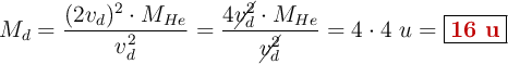
La velocidad de difusión del helio es el doble que la del gas desconocido, por lo que podemos reescribir la ecuación anterior y determinar la masa molar del gas:

M_d = \frac{(2v_d)^2\cdot M_{He}}{v_d^2} = \frac{4\cancel{v_d^2}\cdot M_{He}}{\cancel{v_d^2}} = 4\cdot 4\ u= \fbox{\color[RGB]{192,0,0}{\bf 16\ u}}


Descarga el enunciado y la resolución del problema en formato EDICO si lo necesitas.