Masa de una piedra de la que se conoce su energía y su velocidad (5434)

, por F_y_Q

¿De cuántos kilogramos será la masa de una piedra si al arrojarla horizontalmente con una rapidez de 2 km/h acumula una energía de 0.50 J?

P.-S.

En primer lugar debes convertir la velocidad de la piedra a m/s para que las unidades del problema sean homogéneas:

2\ \frac{\cancel{km}}{\cancel{h}}\cdot \frac{10^3\ m}{1\ \cancel{km}}\cdot \frac{1\ \cancel{h}}{3.6\cdot 10^3\ s} = \color[RGB]{0,112,192}{\bm{0.56\ \frac{m}{s}}}

La energía de la piedra es energía cinética porque no varía su altura en el movimiento, por lo que puedes despejar el valor de la masa:

E_C = \frac{1}{2}mv^2\ \to\ \color[RGB]{2,112,20}{\bm{\frac{2E_C}{v^2} = m}}

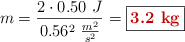
Solo te queda sustituir y calcular la masa:

m = \frac{2\cdot 0.50\ J}{0.56^2\ \frac{m^2}{s^2}} = \fbox{\color[RGB]{192,0,0}{\bf 3.2\ kg}}