Fuerza necesaria para variar la velocidad de un carro en un tiempo

, por F_y_Q

¿Cuál es la fuerza que se requiere para llevar un carro de 500 kg desde el reposo a una velocidad de 16 m/s en 5 s?

P.-S.

La fuerza necesaria para producir una aceleración es, según la Segunda Ley de la Dinámica: F = m\cdot a.
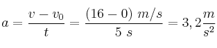
La aceleración del carro es:
a = \frac{v - v_0}{t} = \frac{(16 - 0)\ m/s}{5\ s} = 3,2\frac{m}{s^2}
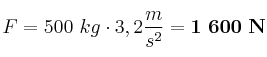
La fuerza necesaria será:

F = 500\ kg\cdot 3,2\frac{m}{s^2} = \bf 1\ 600\ N