Fuerza creada por dos cargas positivas sobre una negativa en los vértices de un triángulo (5023)

, por F_y_Q

En los vértices de un triángulo equilátero de 10 cm de lado se sitúan 3 cargas de 4 \ \mu C , -6 \ \mu C , y 8 \ \mu C . Determinar la fuerza resultante sobre la carga negativa.

P.-S.

Es necesario hacer un esquema de la situación descrita en el enunciado para poder definir los campos eléctricos creados por las cargas positivas (color rojo) en la carga negativa (color azul). En

(Clicando sobre la miniatura podrás ver el esquema con más detalle).

En primer lugar calculas los módulos de los campos E _1 y E _3 sobre la carga negativa:

E_1 = K\cdot \frac{q_1}{d^2} = 9\cdot 10^9\ \frac{N\cdot \cancel{m^2}}{C\cancel{^2}}\cdot \frac{4\cdot 10^{-6}\ \cancel{C}}{0.1^2\ \cancel{m^2}} = \color[RGB]{2,112,20}{\bm{3.6\cdot 10^6\ \textstyle{N\over C}}}

E_3 = K\cdot \frac{q_3}{d^2} = 9\cdot 10^9\ \frac{N\cdot \cancel{m^2}}{C\cancel{^2}}\cdot \frac{8\cdot 10^{-6}\ \cancel{C}}{0.1^2\ \cancel{m^2}} = \color[RGB]{2,112,20}{\bm{7.2\cdot 10^6\ \textstyle{N\over C}}}

Como se trata de vectores, tienes que descomponerlos en las componentes horizontal y vertical a partir del ángulo que forman con el eje horizontal:

\vec E_1 = E_1\ cos\ 60\ \vec i + E_1\ sen\ 60\ \vec j = 1.8\cdot 10^6\ \vec i + 3.12\cdot 10^6\ \vec j\ (\textstyle{N\over C})

\vec E_3 = - E_3\ cos\ 60\ \vec i + E_3\ sen\ 60\ \vec j = - 3.6\cdot 10^6\ \vec i + 6.24\cdot 10^6\ \vec j\ (\textstyle{N\over C})
El campo total sobre la carga negativa es la suma de los vectores calculados:

\vec E_T = \vec E_1 + \vec E_3 = -1.8\cdot 10^6\ \vec i + 9.36\cdot 10^6\ \vec j\ (\textstyle{N\over C})

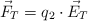
La fuerza total sobre la carga la puedes obtener a partir de la expresión \vec F_T  = q_2\cdot \vec E_T . Debes tener en cuenta el signo de la carga, que es negativo, para poder establecer el vector de la fuerza total. Al ser de signo contrario a las cargas positivas, será una fuerza de atracción y el vector resultante será de signo contrario al calculado para el campo:

\vec F_T = -6\cdot 10^{-6}\ C\cdot \vec E_T = \fbox{\color[RGB]{192,0,0}{\bm{10.8\ \vec i - 56.16\ \vec j\ (N)}}}


El módulo del vector fuerza será:

F_T = \sqrt{(10.8^2 + 56.16^2)\ N^2} = \fbox{\color[RGB]{192,0,0}{\bf  57.19\ N}}

RESOLUCIÓN DEL PROBLEMA EN VÍDEO: