Velocidad de un ciclista al llegar a la meta y distancia a la que empezó a acelerar

, por F_y_Q

Un ciclista lleva una velocidad de 18 km/h. Cuando le faltan 8 segundos para llegar a la meta, experimenta una aceleración constante igual a 3\ m/s^2.

a) Halla la velocidad con la que llega a la meta.

b) ¿A qué distancia de la meta comenzó a acelerar?

P.-S.

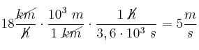
Para que las ecuaciones sean homogéneas es necesario que todos los datos estén expresados en las mismas unidades. Transformamos la velocidad inicial del ciclista en unidad SI:
18\frac{\cancel{km}}{\cancel{h}}\cdot \frac{10^3\ m}{1\ \cancel{km}}\cdot \frac{1\ \cancel{h}}{3,6\cdot 10^3\ s} = 5\frac{m}{s}
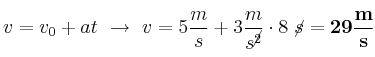
a) Como su movimiento es acelerado:

v = v_0 + at\ \to\ v = 5\frac{m}{s} + 3\frac{m}{s^\cancel{2}}}\cdot 8\ \cancel{s} = \bf 29\frac{m}{s}


b) Calculamos la distancia que cubre con su movimiento acelerado:

d = v_0t + \frac{1}{2}at^2 = 5\frac{m}{\cancel{s}}\cdot 8\ \cancel{s} + \frac{3}{2}\frac{m}{\cancel{s^2}}\cdot 8^2\ \cancel{s^2} = \bf 136\ m