Momento en el que una pelota lanzada hacia arriba alcanza a un elevador que asciende (5309)

, por F_y_Q

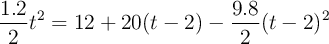
Un elevador parte del reposo y asciende con una aceleración de 1.2\ m\cdot s^{-2} hasta que alcanza una rapidez de 7.8\ m\cdot s^{-1}, momento a partir del cual se mantiene constante. Dos segundos después de que el elevador comenzara a moverse, un hombre que se encuetra situado a 12 m por encima de la posición inicial del elevador, lanza una pelota hacia arriba con una velocidad de 20\ m\cdot s^{-1}. Determina el momento en el que la pelota golpeará al elevador.

P.-S.

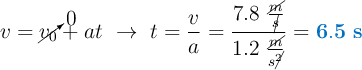
El elevador sigue dos movimientos distintos; un primer tramo acelerado y un segundo tramo con velocidad constante. Primero calculas el tiempo durante el que acelera el elevador:

v = \cancelto{0}{v_0} + at\ \to\ t = \frac{v}{a} = \frac{7.8\ \frac{\cancel{m}}{\cancel{s}}}{1.2\ \frac{\cancel{m}}{s\cancel{^2}}} = \color[RGB]{0,112,192}{\bf 6.5\ s}

A partir de este tiempo será un MRU el que lleve el elevador. Tendrás que tener en cuenta, en la estrategia de resolución del problema, que el tiempo que obtengas no puede ser superior a este tiempo calculado.

Supones que ambos sistemas se mueven con MRUA en principio. Las ecuaciones de la posición de cada sistema serán:

Elevador: \color[RGB]{2,112,20}{\bm{h_e = \cancelto{0}{v_0}\cdot t + \frac{1}{2}a\cdot t^2}}
Pelota: \color[RGB]{2,112,20}{\bm{h_p = h_0 + v_0\cdot (t - 2) - \frac{1}{2}g\cdot (t - 2)^2}}

El momento en el que la pelota golpea al elevador será aquel en el que ambas posiciones sean iguales:

\frac{1.2}{2}t^2 = 12 + 20(t - 2) - \frac{9.8}{2}(t - 2)^2

Si operas tienes la ecuación: 0.6t^2 = 12 + 20t - 40 - 4.9t^2 + 19.6t - 19.6

Reagrupas y te queda la ecuación de segundo grado:

\color[RGB]{2,112,20}{\bm{5.5t^2 - 39.6t + 47.6 = 0}}

Al resolver, obtienes dos soluciones: t_1 = 1.52\ s carece de sentido físico porque aún no se ha lanzado la pelota hacia arriba, y \fbox{\color[RGB]{192,0,0}{\bm{t_2 = 5.67\ s}}} que es menor que el tiempo durante el que acelera el elevador, con lo que cumple la condición que pusiste al principio.

Puedes afirmar que el tiempo en el que la pelota toca al elevador es 5.67 s desde arranca el elevador o 3.67 s desde que la pelota es lanzada hacia arriba.

Palabras clave