Tiempo de difusión de 10 pies cúbicos de hidrógeno (5175)

, por F_y_Q

¿Qué tiempo tarda en difundirse 10 pies cúbicos de hidrógeno, a través de una pared porosa, si el mismo volumen de oxígeno, en las mismas condiciones, tarda 10 minutos?

P.-S.

La ley de Graham te permite calcular la relación entre las velocidades difusión de dos gases a partir de sus masas moleculares:

\color[RGB]{2,112,20}{\bm{\frac{v_A}{v_B} = \sqrt{\frac{M_B}{M_A}}}}

Para el caso del hidrógeno y el oxígeno, como son gases diatómicos, las masas moleculares son:

\left \ce{H2}: 2\cdot 1 = {\color[RGB]{0,112,192}{\bf 2\ u}} \atop \ce{O2}: 2\cdot 16 = {\color[RGB]{0,112,192}{\bf 32\ u}} \right \}

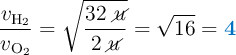
La relación entre sus velocidades de difusión será:

\frac{v_{\ce{H2}}}{v_{\ce{O2}}} = \sqrt{\frac{32\ \cancel{u}}{2\ \cancel{u}}}= \sqrt{16} = \color[RGB]{0,112,192}{\bf 4}

El hidrógeno se difunde cuatro veces más rápido que el oxígeno. El mismo volumen de hidrógeno, en las mismas condiciones, tardará cuatro veces menos que el oxígeno en difundirse, es decir, tardará 2.5 minutos en difundirse el volumen de hidrógeno dado.


Descarga el enunciado y la resolución del problema en formato EDICO si lo necesitas.