Campo magnético necesario para una trayectoria circular de un electrón (5177)

, por F_y_Q

Un electrón tiene en el punto A de la figura una velocidad de 10^6\ m\cdot s^{-1 } en el sentido indicado. De acuerdo a los datos que aparecen:

a) Señala la dirección y sentido de las líneas del campo magnético uniforme que debe extenderse por encima del plano AB.

b) Calcula el valor de la intensidad del campo magnético que obligará al electrón a seguir la trayectoria semicircular de A hasta B.

c) ¿Qué tiempo demora la partícula en moverse desde A hasta B?

Datos: |q_e| = 1.6\cdot 10^{-19}\ C ; m_e = 9.1\cdot 10^{-31}\ kg

P.-S.

a) Para que el electrón siga una trayectoria circular desde A hasta B es necesario que esté sometido a una fuerza magnética que sea perpendicular a la trayectoria del electrón y con sentido hacia el centro de curvatura de esa trayectoria. Si aplicas la regla de la mano derecha puedes ver que obtienes un vector del campo magnético perpendicular al plano en el que se mueve el electrón cuyo sentido, al ser una carga de signo negativo, es hacia dentro de la pantalla. Se podría representar como:


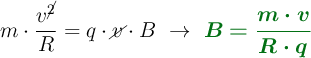
b) Si igualas la fuerza magnética a la fuerza centrípeta del electrón, debida a su trayectoria, obtienes el valor del campo magnético. Debes tener en cuenta que el radio de la trayectoria es la mitad de la distancia entre A y B, expresado en metros:

m \cdot \frac{v^\cancel{2}}{R} = q\cdot \cancel{v}\cdot B\ \to\ \color[RGB]{2,112,20}{\bm{B = \frac{m\cdot v}{R\cdot q}}}

Sustituyes en la ecuación y calculas:

B = \frac{9.1\cdot 10^{31}\ kg\cdot 10^6\ \cancel{m}\cdot s^{-1}}{5\cdot 10^{-2}\ \cancel{m}\cdot 10^{-19}\ C} = \fbox{\color[RGB]{192,0,0}{\bm{1.14\cdot 10^{-4}\ T}}}


c) La distancia que recorre la partícula desde A hasta B se corresponde con una semicircunferencia, por lo que esa distancia es:

d = \frac{L}{2} = \frac{2 \pi R}{2}\ \to\ \color[RGB]{2,112,20}{\bm{d = \pi\cdot R}}

Como conoces la velocidad, despejas y sustituyes en la ecuación:

v = \frac{\pi \cdot R}{t}\ \to\ t = \frac{\pi \cdot R}{v} = \frac{3.14\cdot 5\cdot 10^{-2}\ \cancel{m}}{10^6\ \cancel{m}\cdot s^{1}} = \fbox{\color[RGB]{192,0,0}{\bm{1.57\cdot 10^{-7}\ s}}}