Velocidad inicial de un lanzamiento vertical hacia arriba (5411)

, por F_y_Q

Se lanza verticalmente hacia arriba un móvil que a los 8.4 s lleva una rapidez de 30.5 m/s. Halla:

a) La rapidez inicial del lanzamiento.

b) La altura alcanzada en ese instante.

c) Tiempo que tarda en regresar al punto de lanzamiento.

d) La altura alcanzada a los 7 s del lanzamiento.

P.-S.

a) Como conocemos la velocidad en un instante determinado y sabemos que el móvil está sometido a la aceleración de la gravedad, podemos despejar:

v = v_0 - gt\ \to\ v_0 = v + gt = 30.5\ \frac{m}{s} + 9.8\ \frac{m}{s\cancel{^2}}\cdot 8.4\ \cancel{s} = \fbox{\color[RGB]{192,0,0}{\bf 112.8\ m}}


b) La altura será:

h = v_0t - \frac{g}{2}t^2 = 112.8\ \frac{m}{\cancel{s}}\cdot 8.4\ \cancel{s} - 4.9\ \frac{m}{\cancel{s^2}}\cdot 8.4^2\ \cancel{s^2} = \fbox{\color[RGB]{192,0,0}{\bf 602.1\ m}}


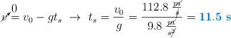
c) Primero calculamos el tiempo que estará subiendo el móvil, es decir, el tiempo para que la velocidad se haga nula. El tiempo total que estará en el aire es el doble del tiempo de subida:

\cancelto{0}{v} = v_0 -gt_s\ \to\ t_s = \frac{v_0}{g} = \frac{112.8\ \frac{\cancel{m}}{\cancel{s}}}{9.8\ \frac{\cancel{m}}{s\cancel{^2}}} = \color[RGB]{0,112,192}{\bf 11.5\ s}

El tiempo de vuelo es:

t_v = 2t_s = 2\cdot 11.5\ s = \fbox{\color[RGB]{192,0,0}{\bf 23\ s}}


d) La altura a los 7 s es:

h = v_0t - \frac{g}{2}t^2 = 112.8\ \frac{m}{\cancel{s}}\cdot 7\ \cancel{s} - 4.9\ \frac{m}{\cancel{s^2}}\cdot 7^2\ \cancel{s^2} = \fbox{\color[RGB]{192,0,0}{\bf 549.6\ m}}