Fuerza resultante sobre una carga negativa debida a dos cargas positivas (5356)

, por F_y_Q

Dos cargas puntuales fijas de q = 3\ \mu C están separadas por una distancia d = 6 m. Una tercera carga Q = - 3 \ \mu C puede moverse libremente y se encuentra inicialmente en reposo perpendicular a la línea que conecta a las dos cargas fijas, a una distancia x = 4 m de la línea (ver figura). Determina el vector, el módulo y la dirección de la fuerza total sobre la carga Q.

P.-S.

En rojo están pintadas las fuerzas de atracción entre las cargas positivas y negativas que están sobre la carga negativa. El ángulo que forman estas fuerzas con el eje horizontal es:

tg\ \alpha = \frac{d/2}{x} = \frac{3\ \cancel{m}}{4\ \cancel{m}}\ \to\ \alpha = arctg\ 0.75 = 36.87^o

Al ser un sistema simétrico, podemos calcular la fuerza \vec F _1 y será análoga a la fuerza \vec F _2. Para hacer el cálculo de la fuerza necesitamos la distancia que hay entre ambas cargas:

y = \sqrt{(\textstyle{d\over 2})^2 + x^2}  = \sqrt{3^2 + 4^2} = 5\ m

Hacemos el cálculo de la fuerza sin tener en cuenta los signos de las cargas porque el sentido de cada componente se lo vamos a dar a partir de la figura:

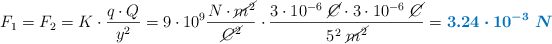
F_1 = F_2 = K\cdot \frac{q\cdot Q}{y^2} = 9\cdot 10^9\frac{N\cdot \cancel{m^2}}{\cancel{C^2}}\cdot \frac{3\cdot 10^{-6}\ \cancel{C}\cdot 3\cdot 10^{-6}\ \cancel{C}}{5^2\ \cancel{m^2}} = \color[RGB]{0,112,192}{\bm{3.24\cdot 10^{-3}\ N}}

Cada una de las componentes del vector son, teniendo en cuenta el ángulo calculado:

\vec F_{1_x} = F_1\cdot cos\ \alpha = 3.24\cdot 10^{-3}\ N\cdot cos\ 36.87^o =  \color[RGB]{2,112,20}{\bm{2.6\cdot 10^{-3}\ (-\vec i)\ (N)}}

\vec F_{1_y} = F_1\cdot sen\ \alpha = 3.24\cdot 10^{-3}\ N\cdot sen\ 36.87^o =  \color[RGB]{2,112,20}{\bm{1.94\cdot 10^{-3}\ \vec j\ (N)}}

Las componentes para la fuerza \vec F _2 son iguales, excepto la componente "y" que tiene sentido contrario:

\vec F_{2_x} = F_2\cdot cos\ \alpha = 3.24\cdot 10^{-3}\ N\cdot cos\ 36.87^o =  \color[RGB]{2,112,20}{\bm{2.6\cdot 10^{-3}\ (-\vec i)\ (N)}}

\vec F_{2_y} = F_2\cdot sen\ \alpha = 3.24\cdot 10^{-3}\ N\cdot sen\ 36.87^o =  \color[RGB]{2,112,20}{\bm{1.94\cdot 10^{-3}\ (-\vec j)\ (N)}}

La suma vectorial de las componentes da como resultado:

\fbox{\color[RGB]{192,0,0}{\bm{\vec{F}_T = 5.2\cdot 10^{-3}\ (-\vec i)\ (N)}}}


El módulo, al tener solo la componente horizontal, es:

\fbox{\color[RGB]{192,0,0}{\bm{F_T = 5.2\cdot 10^{-3}\ N}}}


La dirección es horizontal.