Toneladas a las que equivalen 1800 onzas (5559)

, por F_y_Q

¿A cuántas toneladas equivalen 1 800 onzas? Expresa el resultado en notación científica.

Dato: 1 oz = 28.35 g.

P.-S.

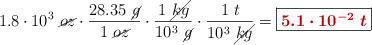
Hacemos la conversión usando varios factores de conversión para llevar las onzas a gramos, kilogramos y toneladas:

1.8\cdot 10^3\ \cancel{oz}\cdot \frac{28.35\ \cancel{g}}{1\ \cancel{oz}}\cdot \frac{1\ \cancel{kg}}{10^3\ \cancel{g}}\cdot \frac{1\ t}{10^3\ \cancel{kg}} = \fbox{\color[RGB]{192,0,0}{\bm{5.1\cdot 10^{-2}\ t}}}