Cambio de unidades de velocidad para saber si se sobrepasa la velocidad máxima (5770)

, por F_y_Q

Si un automóvil viaja a una velocidad de 1.5 \ \textstyle{mi\over min}. ¿Excede el conductor el límite de velocidad de 100 \ \textstyle{km\over h}? ¿Y si viaja a 1 \ \textstyle{mi\over min}?

Dato: 1 mi = 1 609 m.

P.-S.

Convertimos las velocidades a \textstyle{km\over h} para compararlas con la velocidad máxima:

1.5\ \frac{\cancel{mi}}{\cancel{min}}\cdot \frac{1.609\ km}{1\ \cancel{mi}}\cdot \frac{60\ \cancel{min}}{1\ h} = \fbox{\color[RGB]{192,0,0}{\bm{145\ \frac{km}{h}}}}


Esta velocidad es muy superior a la velocidad máxima.

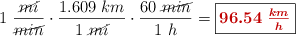
1\ \frac{\cancel{mi}}{\cancel{min}}\cdot \frac{1.609\ km}{1\ \cancel{mi}}\cdot \frac{60\ \cancel{min}}{1\ h} = \fbox{\color[RGB]{192,0,0}{\bm{96.54\ \frac{km}{h}}}}


En este caso, no excede la velocidad máxima.