Radio de una pista en un planeta comparado con el radio en la Tierra (5553)

, por F_y_Q

El coeficiente de fricción estática para las llantas de un auto de carreras es \mu_e = 0.950 y el de fricción cinética es \mu_c = 0.800. El auto está en una pista circular nivelada de 50.0 m de radio en un planeta donde g_P = 2.45\ \textstyle{m\over s^2}. Si el auto es capaz de viajar a la misma rapidez que en la Tierra, donde g_T = 9.80\ \textstyle{m\over s^2}, ¿cuántas veces más grande debería ser el radio de la pista en ese planeta con respecto al radio de la pista en la Tierra?

P.-S.

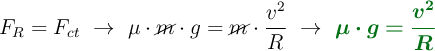
Debes suponer que los coeficientes de rozamiento del auto son los mismos en ambas pistas porque solo dependen de los materiales que están en contacto. En ambos casos, la fuerza de rozamiento del auto ha de ser igual a la fuerza centrípeta para que no se salga de la curva. La condición que se debe cumplir es:

F_R = F_{ct}\ \to\ \mu\cdot \cancel{m}\cdot g  = \cancel{m}\cdot \frac{v^2}{R}\ \to\ \color[RGB]{2,112,20}{\bm{\mu\cdot g = \frac{v^2}{R}}}

Despejas el valor del radio de la pista:

\color[RGB]{2,112,20}{\bm{R  = \frac{v^2}{\mu \cdot g}}}

Comparas el valor del radio para cada planeta:

\frac{R_P}{R_T} = \frac{\frac{\cancel{v^2}}{g_P\cdot \cancel{\mu}}}{\frac{\cancel{v^2}}{g_T\cdot \cancel{\mu}}}\ \to\ \frac{R_P}{R_T} = \frac{g_T}{g_P}\ \to\ R_P = \frac{9.8\cancel{\frac{m}{s^2}}}{2.45\ \cancel{\frac{m}{s^2}}} = \fbox{\color[RGB]{192,0,0}{\bm{4R_T}}}}


Es necesario que el radio de la pista sea cuatro veces mayor en el planeta que en la Tierra.