Descenso de la presión de vapor en una disolución

, por F_y_Q

¿Cuál será la presión de vapor de una solución a 80^oC, si se preparó con 32 gramos cloruro de calcio (CaCl_2) en 800 g de agua. La presión de vapor del agua a esa temperatura es de 355,1 mmHg.
Masas atómicas: Ca = 40 ; Cl = 35,5 ; H = 1 ; O = 16.

P.-S.

Cuando añadimos un soluto a un líquido se produce una disminución de su presión de vapor. Ese descenso se puede calcular a partir de la ley de Raoult: P_i = x_i\cdot P_T. Es necesario conocer la fracción molar del líquido para poder aplicarla.
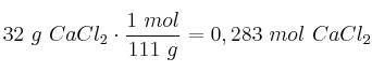
32\ g\ CaCl_2\cdot \frac{1\ mol}{111\ g} = 0,283\ mol\ CaCl_2
800\ g\ H_2O\cdot \frac{1\ mol}{18\ g} = 44,44\ mol\ H_2O
Los moles totales de la mezcla son: (0,283 + 44,44) mol = 44,723 mol.
La fracción molar del agua es:
x_{H_2O} = \frac{44,44\ mol}{44,723\ mol} = 0,993
La presión de vapor de la disolución será:

P = 0,993\cdot 355,1\ mm\ Hg = \bf 352,6\ mm\ Hg