Moles de benceno en un volumen de aire contaminado (5682)

, por F_y_Q

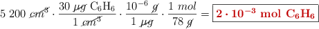
Debido a la contaminación en el aire, la concentración del benceno puede llegar a ser 30 \ \textstyle{\mu g\over cm^3} . Determina el número de moles de benceno contenidos en 5\ 200 \ cm^3 de aire.

Masa molar: \ce{C6H6} = 78\ \textstyle{g\over mol} .

P.-S.

Dado el valor de la concentración y el volumen de aire a considerar, puedes hacer el ejercicio en un único paso por medio de varios factores de conversión:

5\ 200\ \cancel{cm^3}\cdot \frac{30\ \cancel{\mu g}\ \ce{C6H6}}{1\ \cancel{cm^3}}\cdot \frac{10^{-6}\ \cancel{g}}{1\ \cancel{\mu g}}\cdot \frac{1\ mol}{78\ \cancel{g}} = \fbox{\color[RGB]{192,0,0}{\bm{2\cdot 10^{-3}}\ \textbf{\ce{mol\ C6H6}}}}