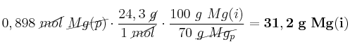
Masa de magnesio impuro necesaria para obtener un volumen de hidrógeno
Una masa de magnesio reacciona con cantidad suficiente de ácido clorhídrico. ¿Cuántos gramos de magnesio, con una pureza del
, se necesitan para obtener 25 L de hidrógeno medidos a 667 mm Hg y
?
Masa atómica del Mg = 24,3 ; 
Ejercicios FyQ