Porcentaje de moléculas de cloro en una mezcla de gases

, por F_y_Q

Se tiene un sistema formado por 87,5 g de O_2 ; 1,87 mol de N_2 y 127,6 g de Cl_2. ¿Qué porcentaje de las moléculas del sistema son de Cl_2?

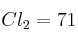
Masas moleculares (g/mol): O_2 = 32; N_2 = 28; Cl_2 = 71.

P.-S.

La forma de resolver el ejercicio será calcular los moles de cada tipo de sustancia que hay, calcular los moles totales del sistema y luego hacer el cálculo del porcentaje correspondiente al cloro.
Moles de cada especie.
87,5\ \cancel{g}\ O_2\cdot \frac{1\ mol}{32\ \cancel{g}} = 2,73\ mol\ O_2
127,6\ \cancel{g}\ Cl_2\cdot \frac{1\ mol}{71\ \cancel{g}} = 1,79\ mol\ Cl_2
Moles totales del sistema.
Será la suma de los moles de cada sustancia:
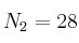
n_T = n_{O_2} + n_{N_2} + n_{Cl_2} = (2,73 + 1,87 + 1,80)\ mol = 6,40\ mol
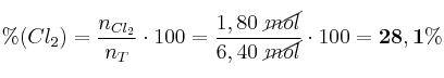
Porcentaje de moléculas de cloro. Aplicamos la ecuación:

\%(Cl_2) = \frac{n_{Cl_2}}{n_T}\cdot 100 = \frac{1,80\ \cancel{mol}}{6,40\ \cancel{mol}}\cdot 100 = \bf 28,1\%