Coeficiente de rozamiento cinético de una caja que cae en un plano inclinado a velocidad constante (5449)

, por F_y_Q

Una caja baja con velocidad constante por una superficie inclinada de 14^o respecto a la horizontal. Calcula el coeficiente de rozamiento cinético.

P.-S.

Si la caja cae con velocidad constante quiere decir que la suma de las fuerzas que hay sobre ella es cero. Las dos fuerzas presentes sobre la caja, en la dirección del movimiento, son la componente «x» del peso y la fuerza de rozamiento. Al descomponer el peso en las componentes «x» e «y» obtienes:

\left {\color[RGB]{2,112,20}{\bm{p_x = m\cdot g\cdot sen\ 14^o}}} \atop {\color[RGB]{2,112,20}{\bm{p_y = m\cdot g\cdot cos\ 14^o}}} \right \}

La fuerza de rozamiento es, por definición, el producto de la componente «y» por el coeficiente de rozamiento cinético. La ecuación que obtienes al aplicar la segunda ley de la dinámica es:

p_x - F_R= 0\ \to\ m\cdot g\cdot sen\ 14^o - \mu\cdot m\cdot g\cdot cos\ 14^o = 0

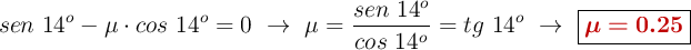
Simplificas y despejas el valor de \mu:

sen\ 14^o - \mu\cdot cos\ 14^o = 0\ \to\ \mu = \frac{sen\ 14^o}{cos\ 14^o} = tg\ 14^o\ \to\ \fbox{\color[RGB]{192,0,0}{\bm{\mu = 0.25}}}