Masa de NaOH para una disolución de 1,5 L de molaridad dada

, por F_y_Q

Se quiere preparar una disolución de concentración 1,5 M de hidróxido de sodio. Si tenemos un volumen de 1,5 L, ¿qué masa, expresada en gramos, debemos tomar?

Masas atómicas: Na = 23, O = 16, H = 1.

P.-S.

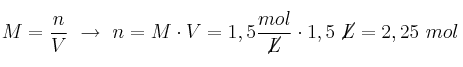
Como la molaridad es el cociente entre los moles de soluto y el volumen de la disolución, despejando en la ecuación podemos saber los moles de NaOH que necesitaremos:
M = \frac{n}{V}\ \to\ n = M\cdot V = 1,5\frac{mol}{\cancel{L}}\cdot 1,5\ \cancel{L} = 2,25\ mol
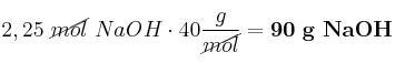
Convertimos ahora los moles de NaOH a masa, usando para ello la masa molecular:
NaOH:\ 1\cdot 23 + 1\cdot 16 + 1\cdot 1 = 40\ \frac{g}{mol}

2,25\ \cancel{mol}\ NaOH\cdot 40\frac{g}{\cancel{mol}} = \bf 90\ g\ NaOH