Volumen de agua a partir de moles de la sustancia (5446)

, por F_y_Q

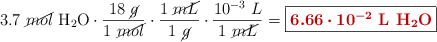
Determina los litros de agua que se encuentran en 3.7 moles de la misma. Considera que la densidad del agua es 1 g/mL.

Masas atómicas: H = 1 ; O = 16.

P.-S.

La masa molecular del agua es:

\ce{H_2O} = 2\cdot 1 + 1\cdot 16 = \color[RGB]{0,112,192}{\bf 18\ \textstyle{g\over mol}}

Este valor puede ser usado como factor de conversión. Usas la densidad como factor de conversión también para hacerlo todo en un solo paso:

3.7\ \cancel{mol}\ \ce{H2O}\cdot \frac{18\ \cancel{g}}{1\ \cancel{mol}}\cdot \frac{1\ \cancel{mL}}{1\ \cancel{g}}\cdot \frac{10^{-3}\ L}{1\ \cancel{mL}} = \fbox{\color[RGB]{192,0,0}{\bm{6.66\cdot 10^{-2}}\ \textbf{L\ \ce{H2O}}}}