Lanzamiento vertical de un tornillo

, por F_y_Q

Una estudiante lanza al vacío un tornillo hacia arriba desde un punto A con una velocidad de 20 m/s y, pasados unos segundos, pasa por una posición B descendiendo con una velocidad de 70 m/s. Determina el tiempo transcurrido entre ambas posiciones, suponiendo que g = 10\ m/s^2

P.-S.

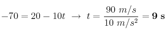
Si consideramos el sentido ascendente como positivo y el sentido descendente como negativo, siendo la ecuación a aplicar es: v = v_0 + gt
Sustituyendo según el criterio de signos:

-70 = 20 - 10t\ \to\ t = \frac{90\ m/s}{10\ m/s^2} = \bf 9\ s