Altura desde la que cae un objeto si conocemos su altura tras 3 s de caída

, por F_y_Q

Visitas una obra en construcción y a un operario se le cae accidentalmente, y en forma vertical, un objeto desde una determinada altura. Si al cabo de 3 s se encuentra a 22 m del suelo, ¿cuál es la altura desde la que cayó el objeto? Considera que g = 10\ \textstyle{m\over s^2}.

P.-S.

La ecuación de la posición del objeto en su caída viene dada por la ecuación:
y = y_0 + v_0t - \frac{1}{2}gt^2
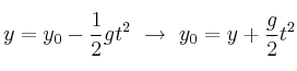
Como el objeto se le cae no habrá velocidad inicial en esa dirección y la ecuación anterior se puede reescribir como:
y = y_0 - \frac{1}{2}gt^2\ \to\ y_0 = y + \frac{g}{2}t^2
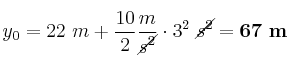
Sustituyendo podemos hacer el cálculo de la altura inicial:

y_0 = 22\ m + \frac{10}{2}\frac{m}{\cancel{s^2}}\cdot 3^2\ \cancel{s^2} = \bf 67\ m