Presión final de un gas al variar su temperatura y volumen

, por F_y_Q

Una masa gaseosa ocupa 500\ cm^3 a 47^oC y 320 mm Hg. ¿Cuál será la presión si el volumen se eleva a 2 L y la temperatura a 50^oC.

P.-S.

Debemos aplicar la ecuación de estado de los gases para hacer el ejercicio pero teniendo en cuenta que los volúmenes inicial y final tienen que estar en la misma unidad y que las temperaturas han de expresarse en escala absoluta.
T_1 = 47 + 273 = 320\ K ; T_2 = 50 + 273 = 323\ K
V_1 = 0,5\ L
Despejamos el valor de la presión final en la ecuación de estado:
\frac{P_1\cdot V_1}{T_1} = \frac{P_2\cdot V_2}{T_2}\ \to\ P_2 = \frac{P_1\cdot V_1\cdot T_2}{T_1\cdot V_2}
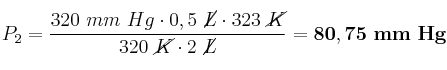
Sustituimos por los valores del enunciado:

P_2 = \frac{320\ mm\ Hg\cdot 0,5\ \cancel{L}\cdot 323\ \cancel{K}}{320\ \cancel{K}\cdot 2\ \cancel{L}} = \bf 80,75\ mm\ Hg