Masa de NaOH contenida en un volumen de disolución 1 M

, por F_y_Q

Calcula los gramos de hidróxido de sodio (NaOH) contenidos en 355 mL de disolución 1 M.

Na = 23 ; O = 16 ; H = 1.

P.-S.

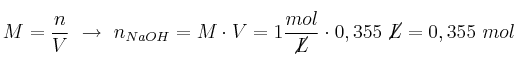
A partir del dato de la concentración podemos calcular los moles que contiene el volumen considerado:
M = \frac{n}{V}\ \to\ n_{NaOH} = M\cdot V = 1\frac{mol}{\cancel{L}}\cdot 0,355\ \cancel{L} = 0,355\ mol
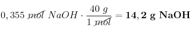
Convertimos los moles de soluto en masa a partir de la masa molecular de la sustancia:
NaOH:\ 1\cdot 23 + 1\cdot 16 + 1\cdot 1 = 40\frac{g}{mol}

0,355\ \cancel{mol}\ NaOH\cdot \frac{40\ g}{1\ \cancel{mol}} = \bf 14,2\ g\ NaOH