Volumen que emerge de un cubo de hierro que flota sobre mercurio (5462)

, por F_y_Q

Un cubo de hierro de 4 cm de arista flota sobre mercurio. Suponiendo que la cara superior del cubo está en posición horizontal, calcula:

a) El volumen de hierro que emerge.

b) La longitud de la arista del cubo que sobresale de la superficie.

\rho_{Fe} = 7.87\ g\cdot cm^{-3} ; \rho_{Hg} = 13.9\ g\cdot cm^{-3}

P.-S.

a) El volumen del cubo que emerge se puede calcular haciendo la relación entre las densidades del material del cubo y del líquido sobre el que flota. Si aplicas el Principio de Arquímedes:

p_{Fe}= p_{Hg}\ \to\ m_{Fe}\cdot \cancel{g} = m_{Hg}\cdot \cancel{g}\ \to\ \rho_{Fe}\cdot V = \rho_{Hg}\cdot V^{\prime}\ \to\ \color[RGB]{2,112,20}{\bm{\frac{V^{\prime}}{V} = \frac{\rho_{Fe}}{\rho_{Hg}}}}

El volumen que queda sumergido es:

V^{\prime} = \frac{7.87}{13.6}\cdot 100 = \color[RGB]{0,112,192}{\bf 57.87\ \%}

El volumen de hierro que emerge es:

V_e = V_c - V_s = 4^3\ cm^3\cdot (1- 0.5787)= \fbox{\color[RGB]{192,0,0}{\bm{26.96\ cm^3}}}


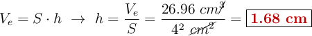
b) El paralelepípedo que emerge tiene una base que es igual a la base del cubo y una altura «h» que es la que debes calcular:

V_e = S\cdot h\ \to\ h = \frac{V_e}{S} = \frac{26.96\ cm\cancel{^3}}{4^2\ \cancel{cm^2}}= \fbox{\color[RGB]{192,0,0}{\bf 1.68\ cm}}