Cambios en un gas manteniendo la temperatura constante

, por F_y_Q

En un recipiente hay 250\ cm^3 de oxígeno a 30^oC y 700 mm de Hg. Determina:

a) El volumen si la temperatura es de 30^oC y la presión de 1 atm.

b) La presión que habría que ejercer para que el volumen se reduzca a 150\ cm^3 sin modificar la temperatura.

P.-S.

En ambos casos la temperatura permanece constante, por lo que aplicaremos la ley de Boyle al resolver el ejercicio. Es necesario que las unidades sean homogéneas y lo hacemos convirtiendo a atmósferas el valor de la presión inicial:
700\ \cancel{mm\ Hg}\cdot \frac{1\ atm}{760\ \cancel{mm\ Hg}} = 0.921\ atm
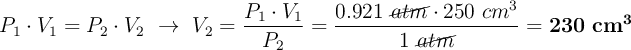
a)

P_1\cdot V_1 = P_2\cdot V_2\ \to\ V_2 = \frac{P_1\cdot V_1}{P_2} = \frac{0.921\ \cancel{atm}\cdot 250\ cm^3}{1\ \cancel{atm}} = \bf 230\ cm^3


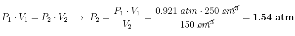
b)

P_1\cdot V_1 = P_2\cdot V_2\ \to\ P_2 = \frac{P_1\cdot V_1}{V_2} = \frac{0.921\ atm\cdot 250\ \cancel{cm^3}}{150\ \cancel{cm^3}} = \bf 1.54\ atm