Presión de salida del agua de una manguera para un alcance y altura dados (5389)

, por F_y_Q

¿Cuánta presión de salida es necesaria para que el agua de una manguera llegue a una distancia de 80 metros, alcanzando una altura máxima de 3 metros?

Densidad del agua: 10^3\  kg\cdot m^{-3}

P.-S.

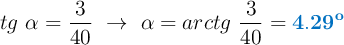
El ángulo de salida del agua para que la altura máxima fuese de 3 m y el alcance de 80 m la puedes obtener a partir de la tangente del ángulo, considerando que en el punto más alto, el alcance es justo la mitad:

tg\ \alpha  = \frac{3}{40}\ \to\ \alpha = arctg\ \frac{3}{40} = \color[RGB]{0,112,192}{\bf 4.29^o}

El alcance del agua se puede escribir en función del doble del ángulo calculado y obtener la velocidad de salida del agua:

\color[RGB]{2,112,20}{\bm{x_{m\acute{a}x}  = \frac{v_0^2\cdot sen\ (2\alpha)}{g}}}

Despejas el valor de la velocidad inicial y la calculas:

v_0 = \sqrt{\frac{x_{m\acute{a}x}\cdot g}{sen\ (2\alpha)}} = \sqrt{\frac{80\ m\cdot 9.8\ m\cdot s^{-2}}{sen\ (8.58)}} = \color[RGB]{0,112,192}{\bm{72.5\ m\cdot s^{-1}}}

Puedes escribir esa velocidad del salida del agua en función de la diferencia de presión que debe producirse en el extremo de la manguera y la densidad del agua:

\color[RGB]{2,112,20}{\bm{v= \sqrt{\frac{2\Delta P}{\rho}}}}

La diferencia de presión será:

\Delta P = \frac{v^2\cdot \rho}{2} = \frac{72.5^2\ m^2\cdot s^{-2}\cdot 10^3\ kg\cdot m^{-3}}{2}= \fbox{\color[RGB]{192,0,0}{\bm{2.63\cdot 10^6\ Pa}}}


Expresado en atmósferas sería:

2.63\cdot 10^6\ \cancel{Pa}\cdot \frac{1\ atm}{1.013\cdot 10^5\ \cancel{Pa}}= \fbox{\color[RGB]{192,0,0}{\bf 25.94\ atm}}