Ampliación: volumen de un cuerpo en unidades SI a partir de la densidad y la masa (5798)

, por F_y_Q

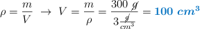
Calcula el volumen de un cuerpo que tiene una masa de 300 g y una densidad de 3 \ \textstyle{g\over cm^3 , expresando el resultado en unidades de SI.

P.-S.

A partir de la ecuación de la densidad despejas el volumen y haces el cálculo:

\rho = \frac{m}{V}\ \to\ V = \frac{m}{\rho} = \frac{300\ \cancel{g}}{3\frac{\cancel{g}}{cm^3}} = \color[RGB]{0,112,192}{\bm{100\ cm^3}}

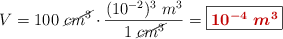
Ahora solo te queda hacer la conversión al Sistema Internacional de unidades, sabiendo que la unidad del volumen es el m ^3:

V = 100\ \cancel{cm^3}\cdot \frac{(10^{-2})^3\ m^3}{1\ \cancel{cm^3}} = \fbox{\color[RGB]{192,0,0}{\bm{10^{-4}\ m^3}}}