Estudio de energía mecánica y velocidad en distintos sistemas
Con los datos de la siguiente foto, calcula:
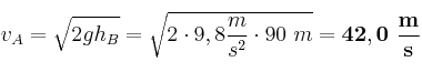
1. La velocidad con la que llegaría al suelo una pelota que cae desde lo alto de la torre Eiffel.
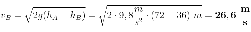
2. Si cae una pelota desde lo alto del barco puesto en vertical, ¿qué velocidad llevaría al pasar a la misma altura que tiene el punto más alto de la Sagrada Familia?
3. ¿Con qué velocidad tendríamos que lanzar un objeto desde el suelo para que llegue a lo alto del Big Ben?
4. Si lanzo verticalmente y hacia abajo un objeto desde la Torre de Pisa con una velocidad de 4 m/s, ¿con qué velocidad llegará al suelo?
5. Si a un pasajero que está en la cubierta superior se le caen las gafas, ¿con qué velocidad verá pasar las gafas otro pasajero que está en su camarote a la mitad de la altura máxima del barco?
Ejercicios FyQ
